×
该物品已收藏过了!
×
大包装咨询
description
×
大包装咨询
感谢您对亚薄世界杯 化学商城的信赖!您的需求我们已经收到,客服人员会尽快与您联系,请耐心等待.
如果您还需要其他帮助,请联系我们的或者拨打免费热线电话 400-8210-725,我们将 竭诚为您服务!
×
大包装咨询
邮件发送失败,请稍后再试 ~~
×
申请文件
输入批次号:
搜索
×
申请COA文件
选择批次号:
COA
×
如何获取批次号
了解了
yabet亚博
芳环类化合物
螺环类化合物
桥环类化合物
脂肪链类化合物
脂肪环类化合物
脂肪杂环类化合物
手性化合物
活性分子Scaffold库
联烯类化合物
硼簇化合物
分析科学
材料科学
香精香料
通用试剂
有机电合成
生命科学
催化剂与配体
产学研平台
88yabo88
氘代化合物
yabo2020官方网站
仪器耗材
定制合成工艺
工艺研发
new
化学大咖秀
Building Blocks
yabet亚博
芳环类化合物
329220
螺环类化合物
16096
桥环类化合物
16054
脂肪链类化合物
29947
脂肪环类化合物
70847
脂肪杂环类化合物
174901
手性化合物
75641
活性分子Scaffold库
81
联烯类化合物
68
硼簇化合物
55
yabo2018柏林赫塔
催化剂与配体
配体
有机催化小分子
催化剂
生命科学
氨基酸及其衍生物
核苷&核苷酸
糖类
亚薄世界杯
甾体
多肽
生化试剂
LNP
交联剂
PROTAC
点击化学试剂
XDC之ADC
分子胶
XDC之RDC
PEG衍生物
单分散聚乙二醇衍生物
More...
分析科学
氘代试剂
离子对试剂
药物杂质对照品
染色剂和指示剂
HPLC缓冲盐
通用试剂
氧化剂
还原剂
卤化试剂
离子液体
缩合反应&活性酯化反应
保护和衍生化试剂
相转移催化剂
烷基化试剂
脱水试剂
wittig试剂
C-S键生成用试剂
胺化反应
磷酸化反应
各类元素及其盐
More...
材料科学
HOF氢键有机框架材料
超分子材料
MOF有机配体
COF有机单体
高分子材料
电子材料
功能材料
材料合成砌块
纳米碳材料
有机-无机杂化材料
More...
yabo2020官方网站
光催化剂试剂盒
仪器耗材
耗材
仪器
88yabo88
Boc
Fmoc
PEG
胺
苄氯
苄溴
醇
碘化物
叠氮
酚
砜
氟化物
胍
磺酸
磺酸酯
磺酰胺
磺酰肼
磺酰氯
肼
磷
磷酸
磷酰胺
硫醇
硫醚
88yabo88
产学研平台
周其林-南开大学
毕锡和-东北师范大学
陈刚-上海交通大学
陈世贵-武汉大学
陈应春-四川大学
董佳家-上海交通大学
邓力-西湖大学
樊保敏-云南民族大学
黄飞鹤-浙江大学
洪旭佳-广东医科大学
Jeremy Robertson-牛津大学
焦宁-北京大学
酒同钢-山东大学
姜雪峰-华东师范大学
陆良秋-华中师范大学
刘雄利-贵州大学
刘心元-南方科技大学
李远明-福州大学
陆展-浙江大学
马大为-中科院上海有机所
麻生明-复旦大学
梅天胜-中科院上海有机所
仇友爱-南开大学
史炳锋-浙江大学
石枫-常州大学/江苏师范大学
孙建伟-香港科技大学
师唯-南开大学
宋振雷-四川大学
汤文军-中科院上海有机所
吴华-上海交通大学
王平-上海交通大学
王为-兰州大学
肖吉昌-上海有机所
许鹏飞-兰州大学
薛小松-中科院上海有机所
叶萌春-南开大学
游书力-中科院上海有机所
张弛-南开大学
翟宏斌-北京大学/程斌-深职大
张健,方伟慧-福建物质结构研究所
周剑-华东师范大学
赵军锋-广州医科大学
张俊良-复旦大学
周强辉-武汉大学
朱守非-南开大学
张书宇-上海交通大学
赵晓丹-中山大学
张新刚-中科院上海有机所
More...
Service
技术领先,致力于技术壁垒高、合成难度大、附加值高的新颖药物的研发
公斤级的中试实验室,100+资深研发人员,高效的工艺路线筛选和安全性评估体系
专业的分析研发和质量控制团队,为您提供全方位的分析方法开发、验证和测试服务
晶型/盐型/共晶筛选、固态分析、结晶工艺研究服务,单晶培养、检测、解析服务
专业提供2~60肽定制服务,包含线性肽、树状支链多肽、环肽和多种特殊修饰的多肽
亚薄世界杯 提供的GMP相关原料药和中间体严格遵守GMP指南生产,保证化合物的安全、可靠、稳定和高质量
专业丰富的化学修饰能力与技术,满足各种功能的定制需求
技术支持
关键字搜索
批量搜索
China
Select Your Country or Region
China
Hong Kong, China
400-821-0725
首页
yabo2018柏林赫塔
硼簇化合物
CAS:
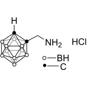
1-Aminomethyl-1,2-dicarba-closo-dodecaborane (hydrochloride)
:
CAS:
英文名称:
1-Aminomethyl-1,2-dicarba-closo-dodecaborane (hydrochloride)
规格
目录价格
上海
安徽
武汉
成都
北方
深圳
会员价格
数量
1g
请询价
--
--
--
--
--
--
--
-
+
5g
请询价
--
--
--
--
--
--
--
-
+
10g
请询价
--
--
--
--
--
--
--
-
+
大包装咨询
* 赜军医药授权销售
Tang's 磷配体
基本信息
属性
英文名称
1-Aminomethyl-1,2-dicarba-closo-dodecaborane (hydrochloride)
英文别称
中文别称
Smiles Code
[H]c1234c567c89%10c%11%12%13c581(CN)C%11%142c%15%163c%12%17%14c%13%189c6%19%10c%1574c%17%16%18%19.C[BH].CC.Cl.[C]
分子式
C3H16B10ClN
纯度
展开
历史浏览记录
资源工具
摩尔计算器
质量 (g) = 浓度 (mol/L) × 体积 (L) × (g/mol)
质量
浓度
体积
*
kg
g
mg
μg
ng
pg
=
M
mM
μM
nM
pM
×
L
mL
μL
×
计算
常用工具
简易版
豪华版
常用数据表
给我们留言
您有任何问题或者建议,欢迎给我们留言,我们将尽快答复您。
*
是必填项。
*
您的邮箱:
*
您的问题:
提交
重置
80000+
10年研发经验
7天无理由退换
100%质量检测
100%产品包邮
上海
企业
高校
江苏
企业
高校
浙江
企业
高校
北京
企业
高校
天津
企业
高校
河北
河北
广东
企业
高校
深圳
深圳
福建
福建
山东
山东
山西
山西
安徽
安徽
湖北
湖北
湖南
湖南
江西
江西
川渝
企业
高校
陕西
陕西
甘肃
甘肃
黑龙江
黑龙江
吉林
吉林
辽宁
辽宁
云南
云南
贵州
贵州
广西
广西
海南
海南
宁夏
宁夏
河南
河南
内蒙古
内蒙古
新疆
新疆
青海
青海
map